Chi tiết Đáp án môn Toán vào lớp 10 tại TP HCM năm 2019

Vào ngày thi cuối cùng, các thí sinh đã tiếp tục dự thi môn Toán trong kỳ thi tuyển sinh vào lớp 10 năm 2019. Dưới đây là gọi ý đáp án cho đề thi môn Toán năm nay.

Đề thi môn Toán vào lớp 10 2019 tại TP HCM được thí sinh đánh giá là dài và khó.

Dưới đây là gợi ý đáp án đề thi môn Toán năm nay:

Đáp án môn Toán vào lớp 10 tại TP HCM năm 2019 - Ảnh 1.

Đáp án môn Toán vào lớp 10 tại TP HCM năm 2019 - Ảnh 2.

Đáp án môn Toán vào lớp 10 tại TP HCM năm 2019 - Ảnh 3.

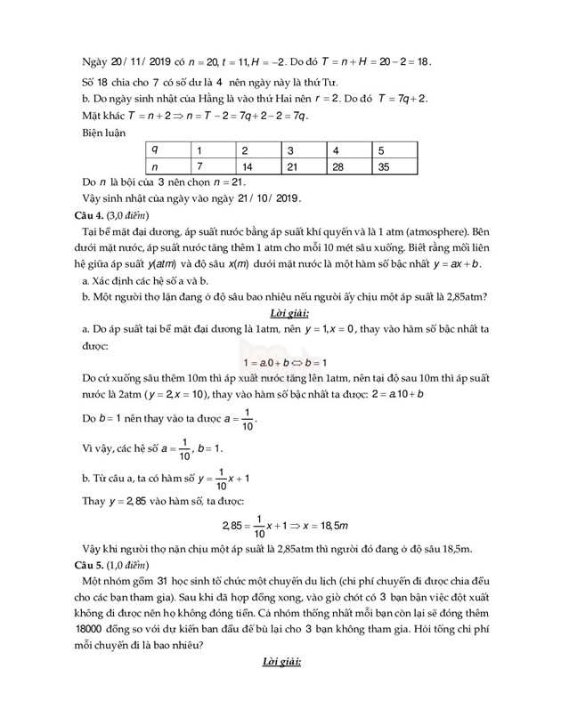
Đáp án môn Toán vào lớp 10 tại TP HCM năm 2019 - Ảnh 4.

Đáp án môn Toán vào lớp 10 tại TP HCM năm 2019 - Ảnh 5.

Đáp án môn Toán vào lớp 10 tại TP HCM năm 2019 - Ảnh 6.

Đáp án môn Toán vào lớp 10 tại TP HCM năm 2019 - Ảnh 7.

Đáp án môn Toán vào lớp 10 tại TP HCM năm 2019 - Ảnh 8.

Kỳ thi tuyển sinh vào lớp 10 năm 2019 tại Hà Nội và TPHCM diễn ra từ ngày 2/6 đến 5/6. Thí sinh cập nhật ĐỀ THI, ĐÁP ÁN các môn nhanh nhất tại ĐÂY.

Bài liên quan

Bài đọc nhiều nhất

Bài mới trong ngày

Bi kịch của Mangaka: Tự dịch truyện đăng lên "web lậu" để tìm fan, ai dè bị nhà xuất bản "tuýt còi" gắt gao

Bi kịch của Mangaka: Tự dịch truyện đăng lên "web lậu" để tìm fan, ai dè bị nhà xuất bản "tuýt còi" gắt gao

hoanlagvnDũng Nhỏ TT

Trong thế giới Manga, việc một tác giả tự tay đăng tác phẩm của mình lên các nền tảng phi chính thức là điều cực kỳ hiếm thấy. Thế nhưng, câu chuyện về bộ truyện "HORIZON" và tác giả Shiten Akiyama vừa qua đã tạo nên một cuộc tranh luận nảy lửa về ranh giới giữa quyền sáng tạo cá nhân và những ràng buộc pháp lý với đơn vị chủ quản.

Giải trí
Thợ Săn Quỷ: Đại Chiến Dị Giới: Chính Thức Ra Mắt 26/02, Hợp Tác Cùng Chang Dory, Hot Streamer Hàng Đầu Việt Nam!

Thợ Săn Quỷ: Đại Chiến Dị Giới: Chính Thức Ra Mắt 26/02, Hợp Tác Cùng Chang Dory, Hot Streamer Hàng Đầu Việt Nam!

Khoa LêLê Khoa

Tựa game nhập vai treo máy (idle RPG) hoàn toàn mới của năm Thợ Săn Quỷ: Đại Chiến Dị Giới sắp phát hành. Nhà phát hành đặc biệt mời Chang Dory đảm nhiệm vai trò "Đại Sứ Linh Tướng" của game, đồng thời cam kết mang đến cho cộng đồng game thủ thật nhiều nội dung hấp dẫn! Chang Dory sẽ một mình hóa thân thành nhiều Linh Tướng Dị Giới lộng lẫy, mang đến cho người chơi thị giác bùng nổ!

Game Mobile
Lên đầu trang