Đáp án đầy đủ 24 mã đề môn Toán kỳ thi THPT Quốc gia 2018

Hơn 900.000 thí sinh đang làm bài thi trắc nghiệm môn Toán THPT quốc gia 2018, thời gian làm bài 90 phút. Chúng tôi sẽ cập nhật gợi ý giải đề thi trắc nghiệm môn Toán nhanh nhất để bạn đọc và thí sinh tham khảo.

Xem thêm:

Được biết, thời gian thí sinh làm bài bắt đầu từ 14h30 phút. Với thi trắc nghiệm, mỗi thí sinh trong phòng thi có một mã đề khác nhau.

Với đề thi tham khảo môn Toán THPT quốc gia 2018 mà Bộ GD&ĐT đã công bố từ đầu tháng 1 để thí sinh tham khảo ôn tập, nhiều giáo viên nhận định, khó hơn rất nhiều so với năm 2017, kiến thức trong đề bao phủ chương trình lớp 11 và lớp 12.

Đáp án đầy đủ 24 mã đề môn Toán kỳ thi THPT Quốc gia 2018

Thầy giáo Nguyễn Tiến Đạt cho rằng, đề độ khó như vậy sẽ đáp ứng được yêu cầu là một đề thi THPT quốc gia, vừa dùng để xét tốt nghiệp, nhưng lại phải có tính phân loại cao để làm căn cứ xét tuyển vào các trường đại học. Do đó, khả năng cao đề thi thật sẽ vẫn có đủ toàn bộ câu thuộc toàn bộ 6 chương lớp 11 và độ khó sẽ tương đương với đề tham khảo.

Thứ trưởng Bộ GD&ĐT Nguyễn Hữu Độ cho biết, cấu trúc của đề thi năm nay vẫn giữ ổn định như năm 2017. Câu hỏi về kiến thức cơ bản sẽ chiếm khoảng 60% đề thi, những thí sinh làm tốt phần này sẽ đủ điều kiện tốt nghiệp; 40% kiến thức còn lại là phần phân hoá, là kênh thông tin tốt để xét thí sinh trúng tuyển vào đại học.

Mã đề thi 103 và 120: Đáp án chính thức.

Đáp án đầy đủ 24 mã đề môn Toán kỳ thi THPT Quốc gia 2018 2

Mã đề 115: Đáp án chính thức

1A – 2C – 3C – 4C – 5B – 6A – 7D – 8B – 9D – 10C – 11A – 12C – 13A – 14B – 15A – 16B – 17D – 18A – 19D – 20B – 21D – 22D – 23A – 24A – 25A – 26 – 27 – 28B – 29 – 30 – 31 – 32B – 33 – 34 – 35D – 36D – 37C – 38 – 39 – 40B – 41 – 42 – 43B – 44D – 45 – 46 – 47 – 48 – 49D – 50

Mã đề 120, 115, 105, 120: Đáp án chính thức

Đáp án đầy đủ 24 mã đề môn Toán kỳ thi THPT Quốc gia 2018 3

Đáp án đầy đủ 24 mã đề môn Toán kỳ thi THPT Quốc gia 2018 4

Mã đề 103: Đáp án chính thức.

Đáp án đầy đủ 24 mã đề môn Toán kỳ thi THPT Quốc gia 2018 5

Mã đề 107:

Đáp án đầy đủ 24 mã đề môn Toán kỳ thi THPT Quốc gia 2018 6

Đáp án đầy đủ 24 mã đề môn Toán kỳ thi THPT Quốc gia 2018 7

Đáp án đầy đủ 24 mã đề môn Toán kỳ thi THPT Quốc gia 2018 8

Đáp án đầy đủ 24 mã đề môn Toán kỳ thi THPT Quốc gia 2018 9

Đáp án đầy đủ 24 mã đề môn Toán kỳ thi THPT Quốc gia 2018 10

Mã đề 115:

Đáp án đầy đủ 24 mã đề môn Toán kỳ thi THPT Quốc gia 2018 11

Đáp án đầy đủ 24 mã đề môn Toán kỳ thi THPT Quốc gia 2018 12

Đáp án đầy đủ 24 mã đề môn Toán kỳ thi THPT Quốc gia 2018 13

Đáp án đầy đủ 24 mã đề môn Toán kỳ thi THPT Quốc gia 2018 14

Đáp án đầy đủ 24 mã đề môn Toán kỳ thi THPT Quốc gia 2018 15

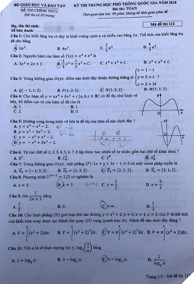
Mã đề thi 112:

Đáp án đầy đủ 24 mã đề môn Toán kỳ thi THPT Quốc gia 2018 16

Ấn phím F5 để liên tục cập nhật liên tục đáp án môn toán…

Bài liên quan

Bài đọc nhiều nhất

Bài mới trong ngày

"Firefly Wedding": Khi tình yêu nảy mầm từ lưỡi dao của kẻ sát nhân

"Firefly Wedding": Khi tình yêu nảy mầm từ lưỡi dao của kẻ sát nhân

hoanlagvnDũng Nhỏ TT

Sau một thời gian làm mưa làm gió trên ứng dụng Manga ONE, bộ truyện đình đám của tác giả Oreko Tachibana – Hotaru no Yomeiri (Hôn Nhân Đom Đóm) – đã chính thức nhận được "tấm vé" chuyển thể thành Anime. Với cốt truyện đầy kịch tính và mang hơi hướng "dark romance", bộ phim hứa hẹn sẽ tạo nên một cơn sốt mới khi chính thức lên sóng vào tháng 10 năm 2026.

Giải trí
Ẩn dụ "Nhện giăng lưới Bướm" trong Chainsaw Man: Liệu Reze mới là người sập bẫy tình?

Ẩn dụ "Nhện giăng lưới Bướm" trong Chainsaw Man: Liệu Reze mới là người sập bẫy tình?

hoanlagvnDũng Nhỏ TT

Kể từ khi siêu phẩm điện ảnh Chainsaw Man – The Movie: Reze Arc chính thức trình làng, sức hút của cặp đôi Denji và Reze vẫn chưa bao giờ hạ nhiệt. Mới đây, một phân tích mang tính bước ngoặt trên X (Twitter) đã khiến người hâm mộ phải "quay xe" khi lật lại ý nghĩa thực sự của hình ảnh ẩn dụ "Nhện và Bướm" trong phân cảnh hồ bơi đầy mê hoặc.

Giải trí
Lên đầu trang